Page 197 - Notiziario del Portale Numismatico dello Stato n. 5-2014
P. 197
Direzione generale per il paesaggio, le belle arti, l’architettura e l’arte contemporanee – DOSSIER 197
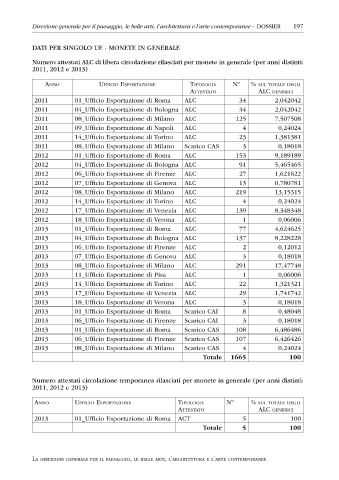
DATI PER SINGOLO UE - MONETE IN GENERALE
Numero attestati ALC di libera circolazione rilasciati per monete in generale (per anni distinti:
2011, 2012 e 2013)
anno uFFiCio esportazione tipoLogia N° % suL totaLe degLi
attestato aLC generiCi
2011 01_Ufficio Esportazione di Roma ALC 34 2,042042
2011 04_Ufficio Esportazione di Bologna ALC 34 2,042042
2011 08_Ufficio Esportazione di Milano ALC 125 7,507508
2011 09_Ufficio Esportazione di Napoli ALC 4 0,24024
2011 14_Ufficio Esportazione di Torino ALC 23 1,381381
2011 08_Ufficio Esportazione di Milano Scarico CAS 3 0,18018
2012 01_Ufficio Esportazione di Roma ALC 153 9,189189
2012 04_Ufficio Esportazione di Bologna ALC 91 5,465465
2012 06_Ufficio Esportazione di Firenze ALC 27 1,621622
2012 07_Ufficio Esportazione di Genova ALC 13 0,780781
2012 08_Ufficio Esportazione di Milano ALC 219 13,15315
2012 14_Ufficio Esportazione di Torino ALC 4 0,24024
2012 17_Ufficio Esportazione di Venezia ALC 139 8,348348
2012 18_Ufficio Esportazione di Verona ALC 1 0,06006
2013 01_Ufficio Esportazione di Roma ALC 77 4,624625
2013 04_Ufficio Esportazione di Bologna ALC 137 8,228228
2013 06_Ufficio Esportazione di Firenze ALC 2 0,12012
2013 07_Ufficio Esportazione di Genova ALC 3 0,18018
2013 08_Ufficio Esportazione di Milano ALC 291 17,47748
2013 11_Ufficio Esportazione di Pisa ALC 1 0,06006
2013 14_Ufficio Esportazione di Torino ALC 22 1,321321
2013 17_Ufficio Esportazione di Venezia ALC 29 1,741742
2013 18_Ufficio Esportazione di Verona ALC 3 0,18018
2013 01_Ufficio Esportazione di Roma Scarico CAI 8 0,48048
2013 06_Ufficio Esportazione di Firenze Scarico CAI 3 0,18018
2013 01_Ufficio Esportazione di Roma Scarico CAS 108 6,486486
2013 06_Ufficio Esportazione di Firenze Scarico CAS 107 6,426426
2013 08_Ufficio Esportazione di Milano Scarico CAS 4 0,24024
Totale 1665 100
Numero attestati circolazione temporanea rilasciati per monete in generale (per anni distinti:
2011, 2012 e 2013)
anno uFFiCio esportazione tipoLogia N° % suL totaLe degLi
attestato aLC generiCi
2013 01_Ufficio Esportazione di Roma ACT 5 100
Totale 5 100
e
La direzione generaLe per paesaggio, Le arti, L’arChitettura L’arte Contemporanee
iL
beLLe

