Page 199 - Notiziario del Portale Numismatico dello Stato n. 5-2014
P. 199
Direzione generale per il paesaggio, le belle arti, l’architettura e l’arte contemporanee – DOSSIER 199
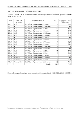
DATI PER SINGOLO UE - MONETE MEDIEVALI
Numero Attestati ALC di libera circolazione rilasciati per monete medievali (per anni distinti:
2011, 2012 e 2013)
anno tipoLogia uFFiCio esportazione N° % suL totaLe degLi
attestato aLC generiCi
2011 ALC 01_Ufficio Esportazione di Roma 4 0,24
2011 ALC 04_Ufficio Esportazione di Bologna 1 0,06
2011 ALC 08_Ufficio Esportazione di Milano 22 1,32
2012 ALC 01_Ufficio Esportazione di Roma 10 0,60
2012 ALC 04_Ufficio Esportazione di Bologna 8 0,48
2012 ALC 06_Ufficio Esportazione di Firenze 2 0,12
2012 ALC 08_Ufficio Esportazione di Milano 11 0,66
2012 ALC 14_Ufficio Esportazione di Torino 2 0,12
2012 ALC 17_Ufficio Esportazione di Venezia 6 0,36
2013 ALC 01_Ufficio Esportazione di Roma 14 0,84
2013 ALC 04_Ufficio Esportazione di Bologna 3 0,18
2013 ALC 07_Ufficio Esportazione di Genova 1 0,06
2013 ALC 08_Ufficio Esportazione di Milano 17 1,02
2013 ALC 11_Ufficio Esportazione di Pisa 1 0,06
2013 ALC 14_Ufficio Esportazione di Torino 3 0,18
2013 Scarico CAI 06_Ufficio Esportazione di Firenze 1 0,06
2013 Scarico CAS 01_Ufficio Esportazione di Roma 3 0,18
2013 Scarico CAS 06_Ufficio Esportazione di Firenze 19 1,14
Totale 124 7,45
Numero Dinieghi rilasciati per monete medievali (per anni distinti: 2011, 2012 e 2013): NESSUNO
e
La direzione generaLe per paesaggio, Le arti, L’arChitettura L’arte Contemporanee
iL
beLLe

